Bog'lanish

Telefon
(+998 55) 451 11 48

Elektron manzil
surxondaryo@adliya.uz

Habarni yuborish
Ishonch telefoni 1008

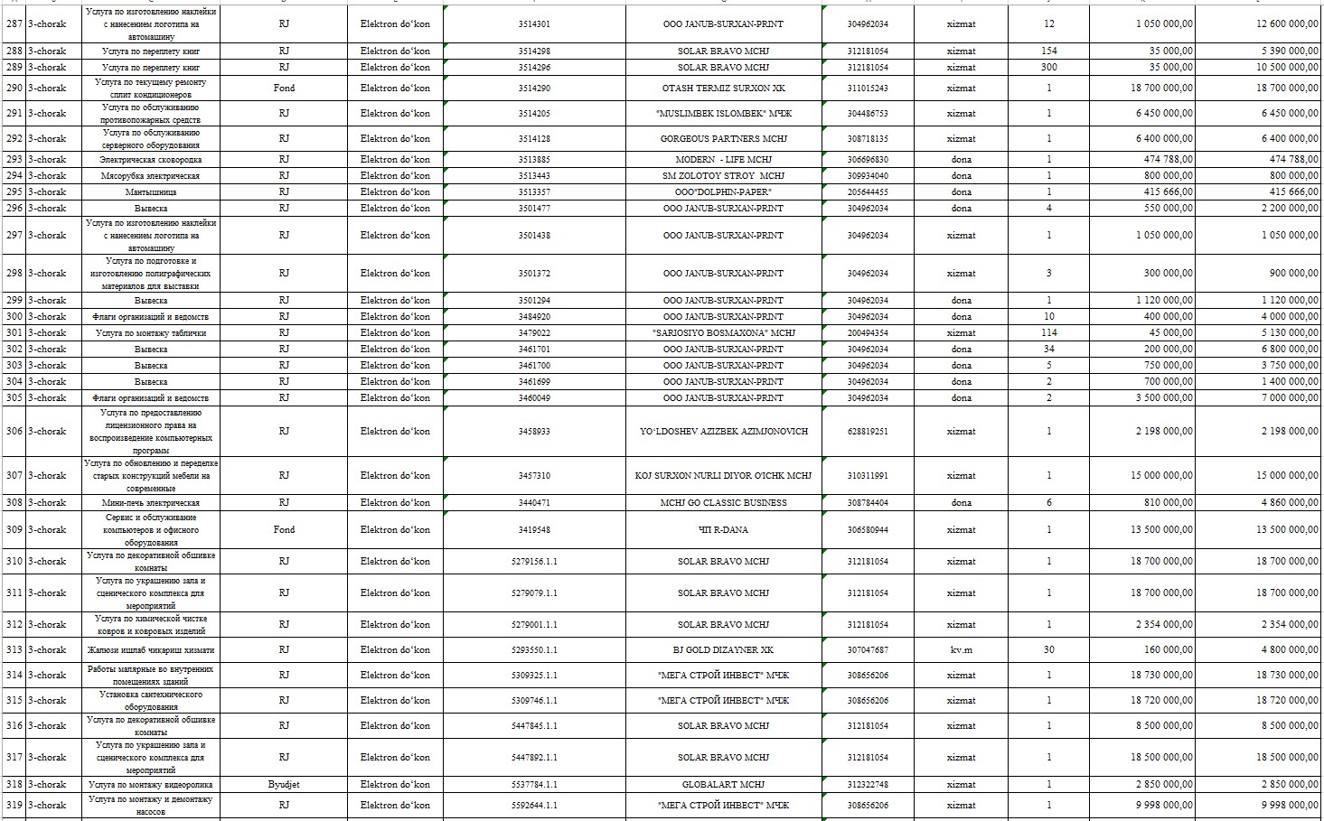
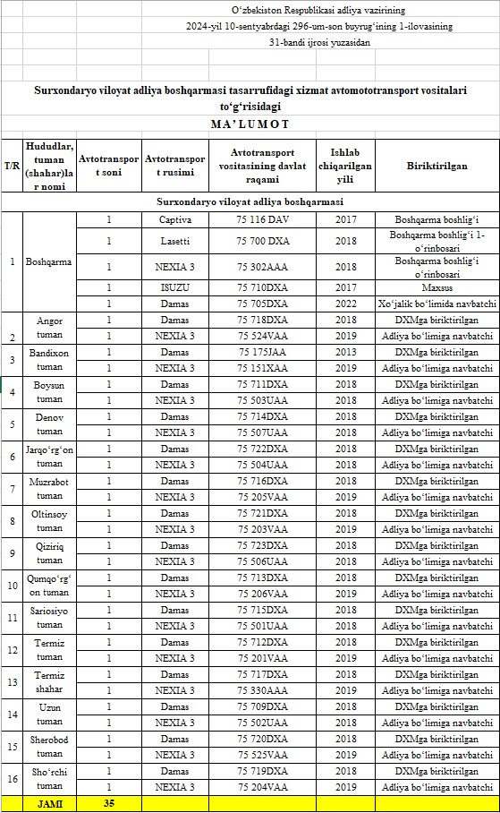
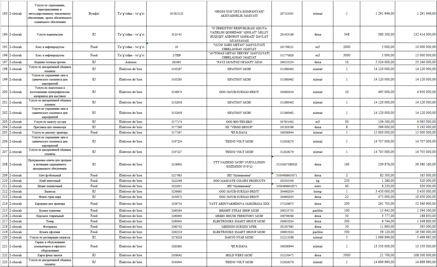
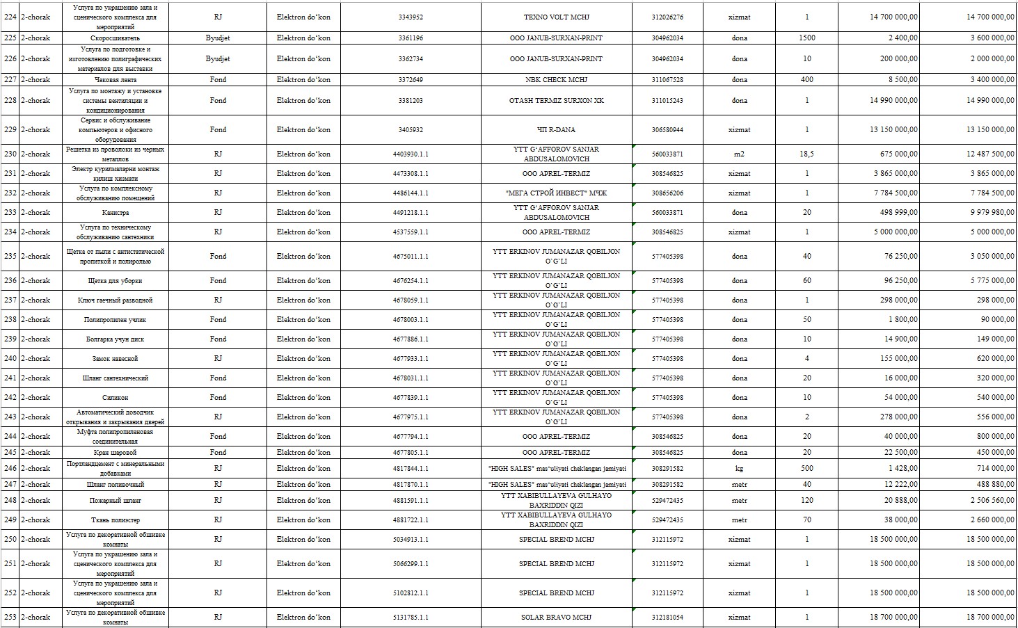
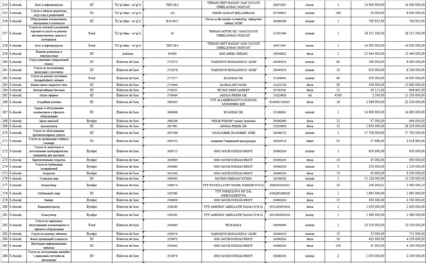
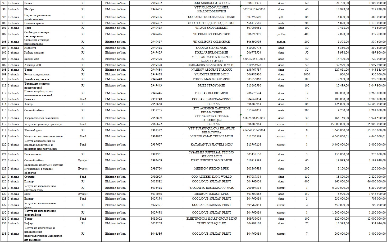
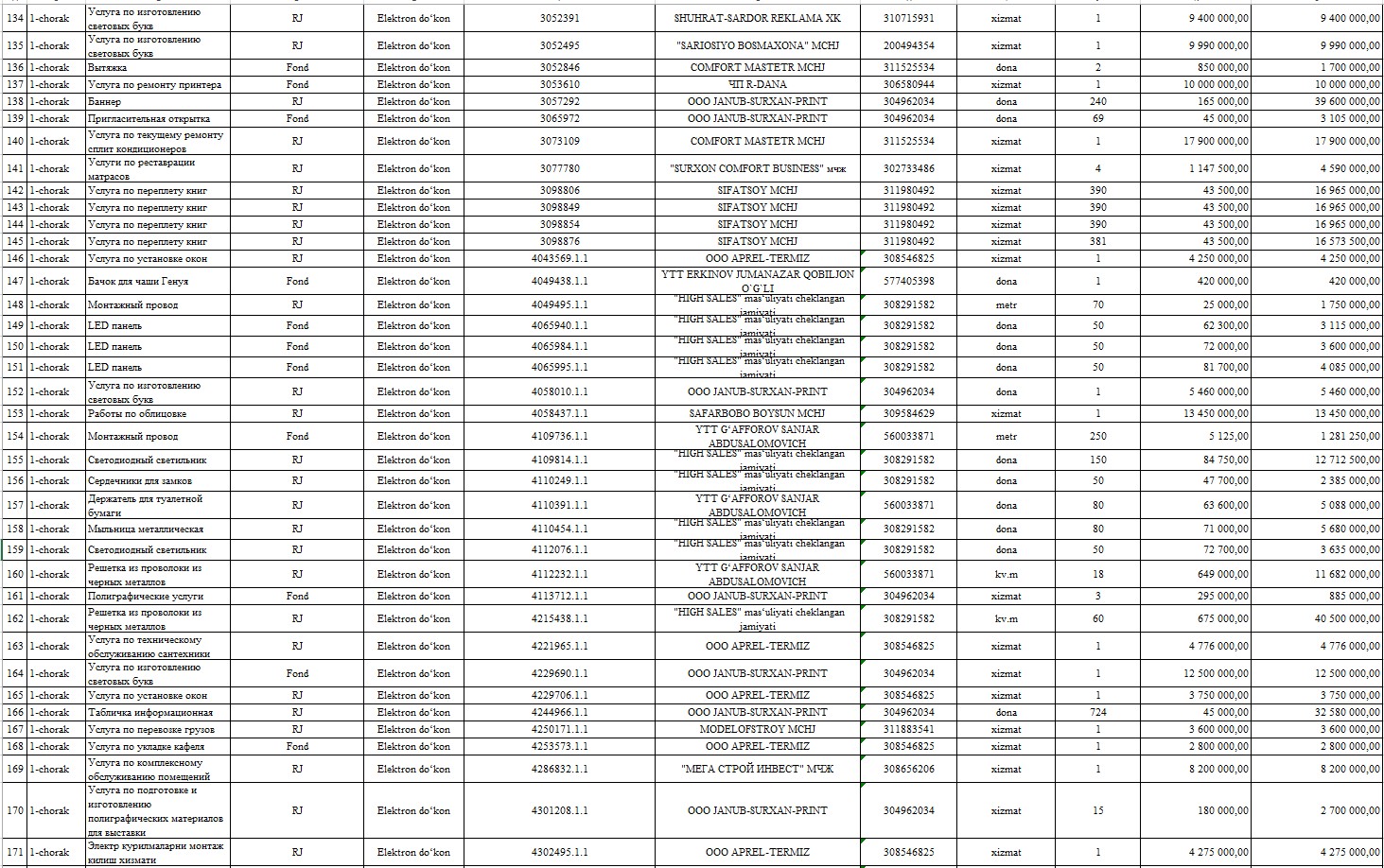
Surxondaryo viloyat adliya boshqarmasining 2025 yil III-chorak harajaatlar va daromadlar to`g`risida ma`lumot.















































Рўйҳатга қайтиш