Bog'lanish

Telefon
(+998 55) 451 11 48

Elektron manzil
surxondaryo@adliya.uz

Habarni yuborish
Ishonch telefoni 1008

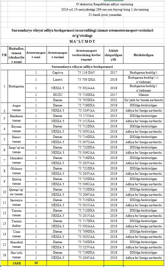
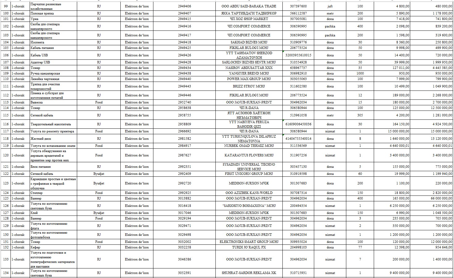
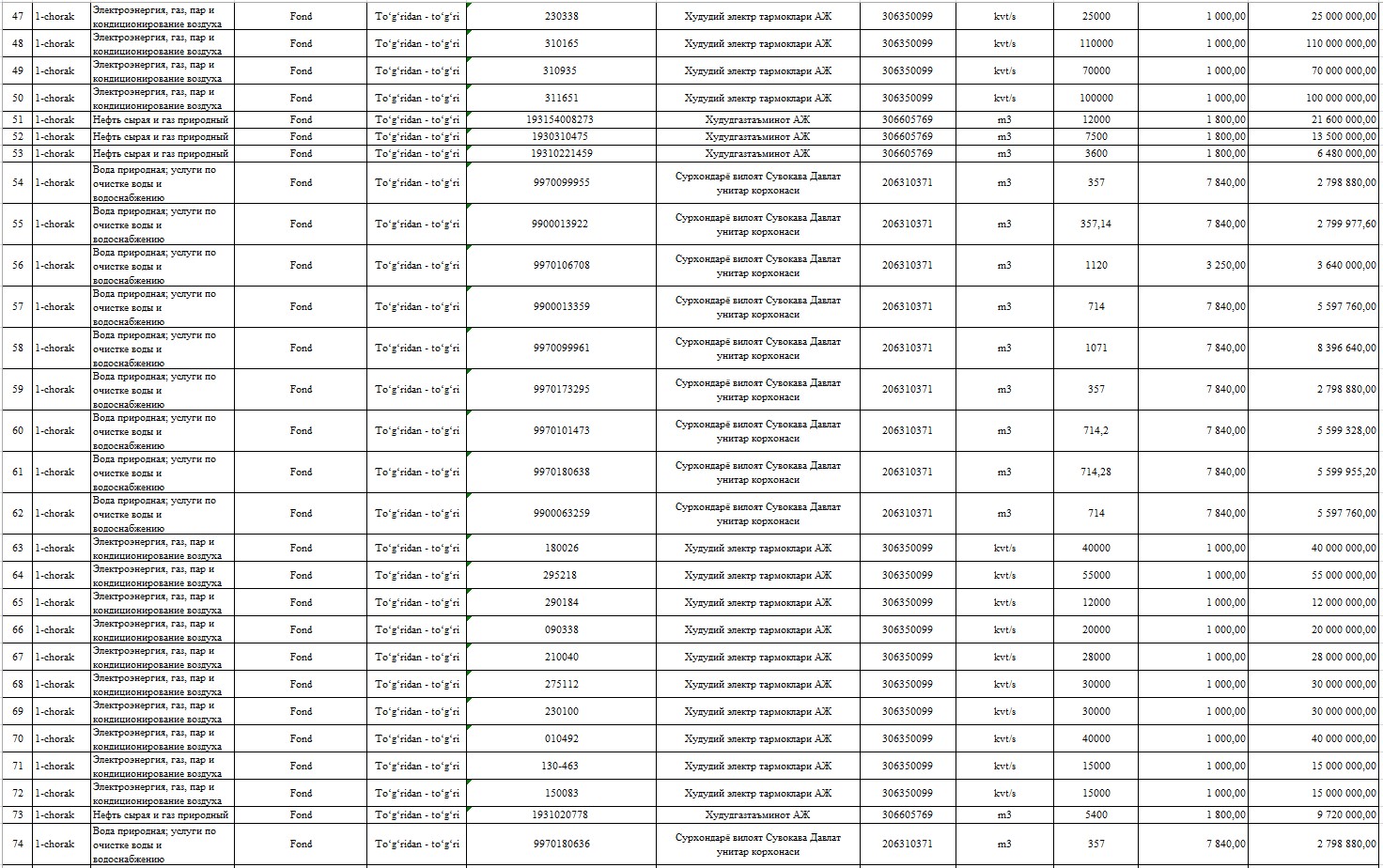
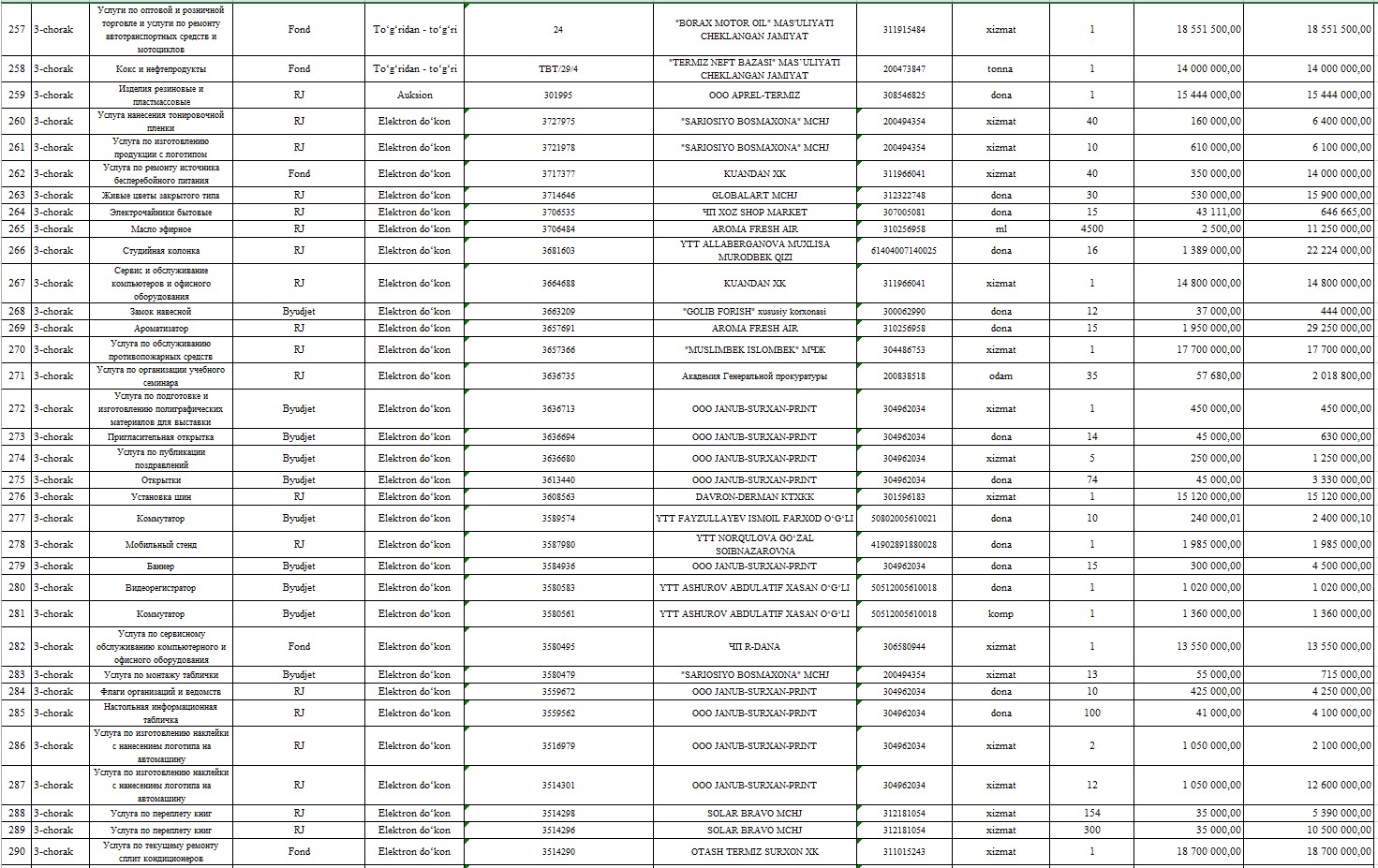
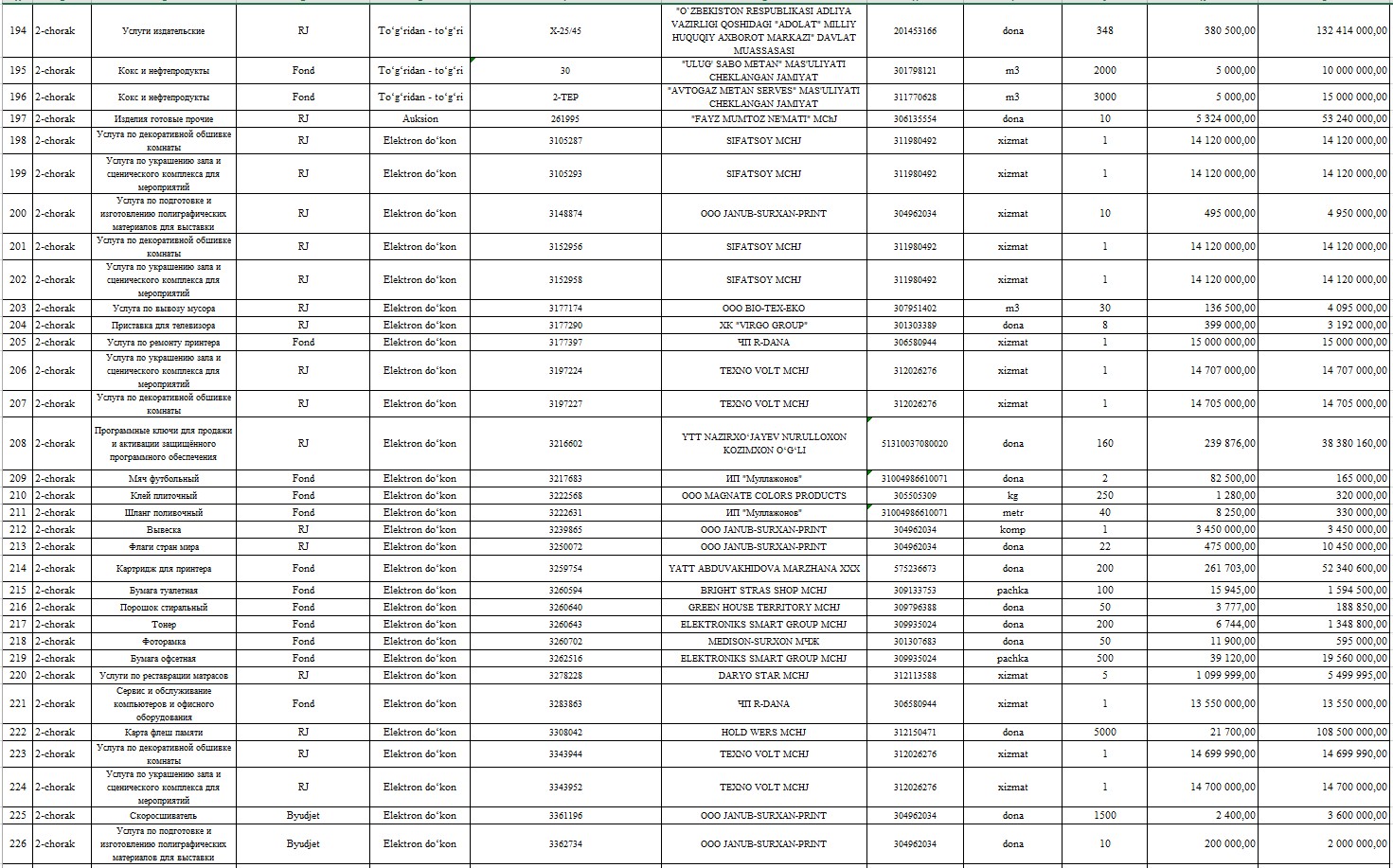
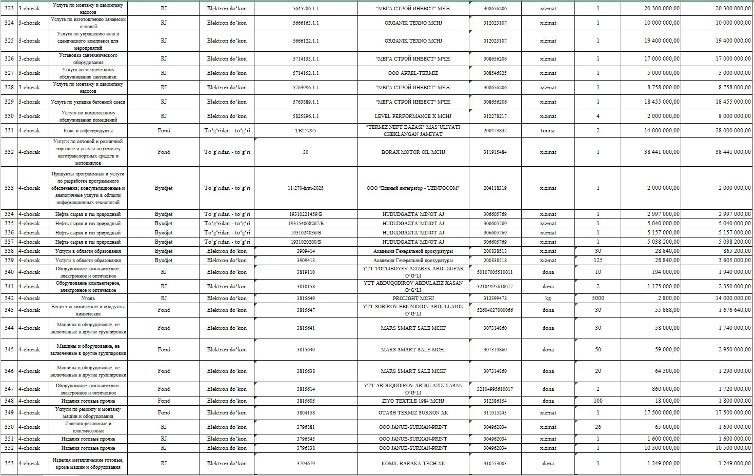
Surxondaryo viloyat adliya boshqarmasining 2025 yil IV-chorak harajaatlar va daromadlar to‘g‘risida ma`lumot.




Рўйҳатга қайтиш